오늘도 아이에게 생각거리 던져주기 Start!!
| 목차박스 |
| 1. 다각형의 대각선 수 구하기 2. 100각형의 대각선 수 구하기 3. 실생활 문제 4. 긍정적인 엄마의 피드백 |
1. 다각형의 대각선 수 구하기!
→ 직접 그려볼까요?

→ 규칙을 찾아볼까요?

어라? 뭔가 계속 더해지네~
그러면10 각형의 대각선수는 2+3+4+5+6+7+8까지 더해서 35개가 되지요.
초등학생은 여기까지만 하세요.
아래는 중학생 정도에 가서 풀어봐요~^^
2. 100 각형의 대각선 수도 구할 수 있을까요?
그럼 100 각형이라면
2+3+4+.....+97+98까지 더하면 되겠네요?
그런데 이걸 어떻게 더하지?
1~100까지 더하는 것을 가우스가 쉽게 풀었던 거 기억하나요?
1 + 2 +3+.....+98+99+100
100+99+98+..... 3 + 2+ 1
--------------------------------------
101+101+101+101....+101

위 공식에 따라
101*100/2 =5,050이라고 계산했어요.
쉽게 101이 50쌍 있다고 계산하면 되어요.
그러면 다시 대각선 수 구하는 문제에서,
2+3+4+.....+97+98 은 어떻게 구할 수 있을까요?
- 2 + 98 = 100
- 3 + 97 = 100
- 4 + 96 = 100
- …
- 49 + 51 = 100
- 그리고 남는 수 50은 짝이 없어요!
앞에 1이 빠졌으니까 2~98까지의 수의 개수는 97개죠. 총 48쌍 하고도 하나가 남게 되어요.
수가 97개라 쌍이 맞지 않는 것을 눈치채지 못하고, 100이 49개(98/2) 있는 거니까, 4900이라고 하면 되겠네~라고 실수할 수 있어요.
그래서 정확한 공식을 이해하고
그에 대입해서 풀면 이런 실수를 막을 수 있어요.

이 공식은 어떻게 만들어진 것일까요?
공식이 어떻게 만들어진 것인지 이해하는 게,
개념을 익힌다는 말이예요.
그림을 다시 보면서 이해해 봐요.

4 각형은 한 꼭짓점에서 1개씩 그릴 수 있어요.
5 각형은 한 꼭짓점에서 2개씩 그릴 수 있어요.
6 각형은 한 꼭짓점에서 3개씩 그릴 수 있어요.
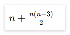
→ 즉, n각형은 한 꼭짓점에서 n-3개씩 그릴 수 있어요. 자기 자신, 양옆 두 꼭짓점은 대각선을 못 그어서 -3을 해줘야겠네요.
→ 꼭짓점이 n개면 (n-3) x n 이 되는데,
→ 중복되는 선은 빼줘야 하니까 /2
100 각형을 위 공식에 대입해 보면,
100*97/2가 되어 4,850이 되지요.
3. 실생활 문제
다각형 대각선 수 구하기 문제로 다양한 생활문제도 풀 수 있어요. 예를 들자면, 총 5명이 원형탁자에서 사람들과 서로 한 번씩 악수를 하는 횟수는? 그림을 보면서 생각해 봐요.^^

1) 첫 번째 방법 : [대각선 수 + 테두리 변의 수]를 구하면 되겠죠?

2) 두 번째 방법 : 양 옆에 사람도 포함이니까 n-3의 공식을 n-1로 바꿔도 되겠어요.

4. 긍정적인 엄마의 피드백
재밌으셨나요?
이제 아이에게 칭찬도 해주세요.
"생각해 보고 답이 떠오르면 말해줘~"
"와 수학탐정 같아~"
(틀린 답을 말해도)
"벌써 생각해내다니 빠른데? 어떻게 생각했는지 엄마한테 설명해줄래?"
"멋지게 추리했어~"
"네가 말한 방법도 정말 그럴듯해."
"혼자 생각해 낸 건 정말 대단한 추리실력이야."
(그 후에 힌트섞인 질문을 해보세요^^)
→ 이런 피드백을 받으면 틀려도 계속 하고 싶다니까요. 그러니 아이가 틀린답을 말해도, 긍정적으로 반응해 주세요.

최대공약수, 최소공배수 완벽해결, 문장제 활용 - https://naturalmedicine.tistory.com/m/420
최대공약수, 최소공배수 완벽해결, 문장제 활용
최대공약수와 최소공배수 최대공약수와 최소공배수를 푸는 문제는 아주 간단해요. 하지만 실생활에서, 문장제 문제에서 어떻게 적용해야 하는지, 이걸 왜 배우는지 아이가 모르는 것 같아서 정
kidarilight.com
가끔은 근거 없는 칭찬도 필요한 이유 _ 피그말리온 효과 - https://naturalmedicine.tistory.com/m/368
가끔은 근거 없는 칭찬도 필요한 이유 _ 피그말리온 효과
"책 좀 봐라... 다른 애들은 저렇게 공부하는 데 너는 TV만 보면 어뜨카냐..."라는 말을 아이에게 하고 싶으신가요? 저도 그래요.ㅋㅋㅋ자녀를 키우면서 부모들은 아이의 부족한 점이 자꾸 눈에 들
naturalmedicine.tistory.com
초등아이에게 던져주는 몰입수학 문제 3_ 종이접기 - https://naturalmedicine.tistory.com/m/375
초등아이에게 던져주는 몰입수학 문제 3_ 종이접기
오늘도 아이에게 생각거리 던져주기 Start!!1. 초등 몰입 수학 문제 1. 종이를 반으로 한 번 접으면 2겹, 두 번 접으면 4겹, 그럼 5번 접으면 몇 겹일까? 1) 어린아이들은 실제로 접어보게 하면서 겹
naturalmedicine.tistory.com
뇌가 업그레이드 되는 초등 몰입수학 문제 2_ 다각형 외각의 합 - https://naturalmedicine.tistory.com/m/365
'4. 방향 찾는, 영어 수학 교수 방법' 카테고리의 다른 글
| 영어 시제(시간표현) 완전 정리 (19) | 2025.08.01 |
|---|---|
| 영어학원? 지금 꼭 보내야 할까? (14) | 2025.07.08 |
| 중국어 전공 엄마, 왜 아이에게 중국어를 가르치지 않을까? (17) | 2025.06.17 |
| 초등아이에게 던져주는 몰입수학 문제 3_ 종이접기 (16) | 2025.06.13 |
| 뇌가 업그레이드 되는 초등 몰입수학 문제 2_ 다각형 외각의 합 (4) | 2025.05.29 |